Zertifikate

Wir bemühen uns stehts alle Umweltnormen zu beachten und dafür sind wir ausgezeichnet

MO - FR 7 - 17 Uhr Erreichbar

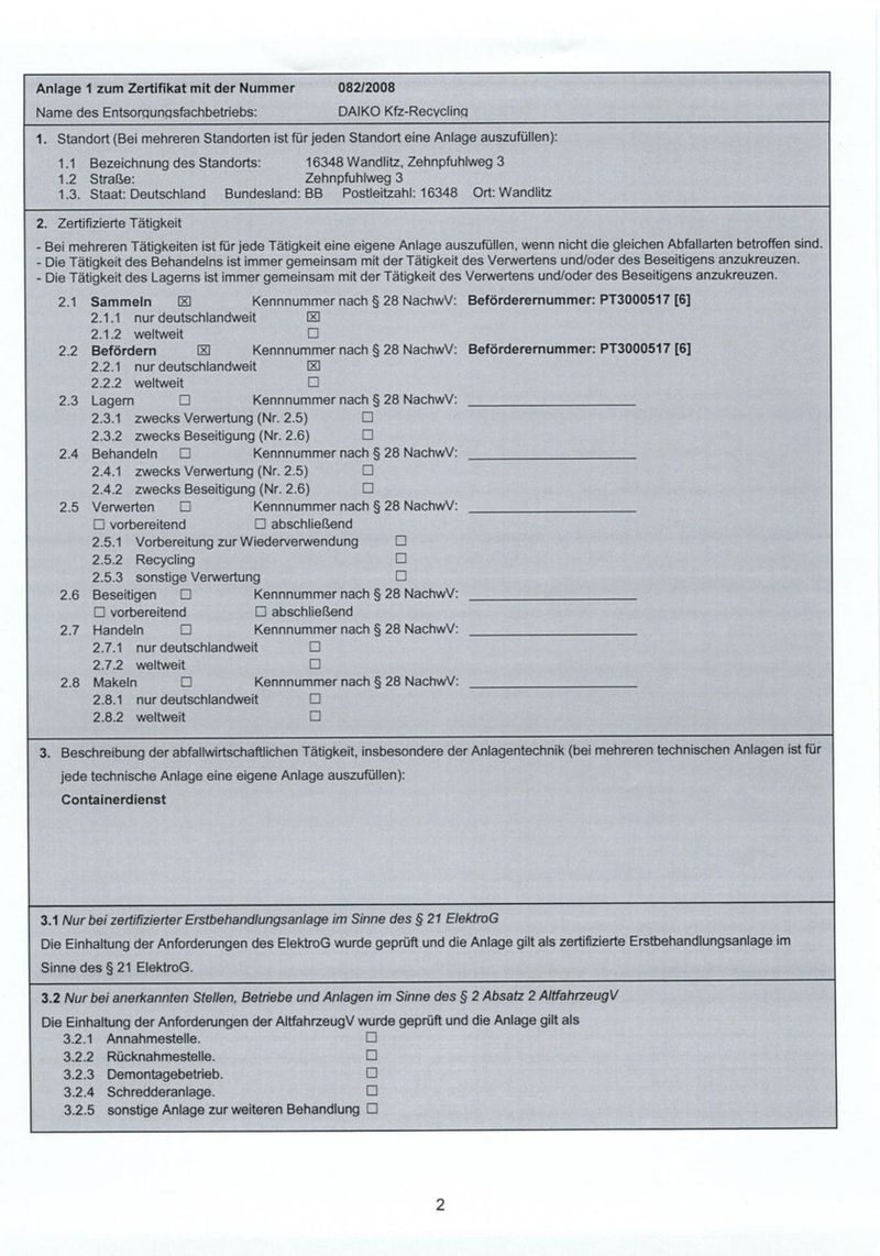
Verwertungsnachweis

Um sich eine bessere Vorstellung eines Verwertungsnachweis machen zu können, haben wir hier einen Beispielverwertungsnachweis zur Ansicht.

Erfahrungen & Bewertungen zu Daiko Recycling